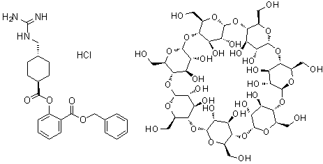
structure of 91574-91-3

CAS No:91574-91-3

中文名称:Ulgut

英文名称:Ulgut; beta-Cyclodextrin, compd. with trans-phenylmethyl 2-[[[4-[[(aminoiminomethyl)amino]methyl]cyclohexyl]carbonyl]oxy]benzoate hydrochloride; TA 903
  • CAS No.: 91574-91-3
  • EINECS号:
  • 分子式: C42H70O35.C23H27N3O4.HCl
  • 分子量: 1580.92
相关管理规定: 我们没有收集到该产品的管制信息。

真尴尬,目前还没有供应商信息。

如果你是供应商,加入我们,马上展示在这里,让更多的人找到你吧

91574-91-3当前没有适合展示的市场信息噢

请联系我们为您整理开通吧

其他相关产品:
91575-25-6|暂缺     91575-26-7|甘氨酰-L-精氨酰甘氨酰-L-alpha-天冬氨酰-L-丝氨酰-L-脯氨酰-L-半胱氨酸     91575-28-9|暂缺     91575-47-2|暂缺     91575-58-5|暂缺     91575-84-7|暂缺     91575-92-7|暂缺     91576-14-6|暂缺     91577-19-4|暂缺