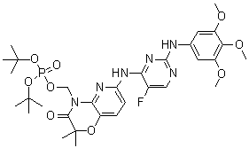
structure of 901119-38-8

CAS No:901119-38-8

中文名称:磷酸 二叔丁基 [6-[[5-氟-2-[(3,4,5-三甲氧基苯基)氨基]-4-嘧啶基]氨基]-2,3-二氢-2,2-二甲基-3-氧代-4H-吡啶并[3,2-b]-1,4-恶嗪-4-基]甲基酯

英文名称:Phosphoric acid bis(1,1-dimethylethyl) [6-[[5-fluoro-2-[(3,4,5-trimethoxyphenyl)amino]-4-pyrimidinyl]amino]-2,3-dihydro-2,2-dimethyl-3-oxo-4H-pyrido[3,2-b]-1,4-oxazin-4-yl]methyl ester;
  • CAS No.: 901119-38-8
  • EINECS号:
  • 分子式: C31H42FN6O9P
  • 分子量: 692.67
相关管理规定: 我们没有收集到该产品的管制信息。

真尴尬,目前还没有供应商信息。

如果你是供应商,加入我们,马上展示在这里,让更多的人找到你吧

901119-38-8当前没有适合展示的市场信息噢

请联系我们为您整理开通吧

其他相关产品:
901121-69-5|暂缺     901121-70-8|暂缺     901121-71-9|暂缺     901122-45-0|暂缺     901130-24-3|暂缺     901131-08-6|暂缺     901131-09-7|暂缺     901131-10-0|暂缺     901131-11-1|暂缺