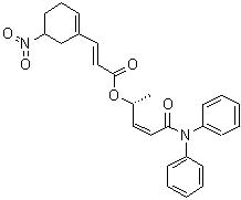
structure of 900186-73-4

CAS No:900186-73-4

中文名称:(2E)-3-(5-硝基-1-环己烯-1-基)-2-丙烯酸 (1R,2Z)-4-(二苯基氨基)-1-甲基-4-氧代-2-丁烯-1-基酯

中文别名:沃拉帕沙中间体8
英文名称:(2E)-(R)-5-(Diphenylamino)-5-Oxopent-3-En-2-Yl 3-(5-Nitrocyclohex-1-En-1-Yl)Acrylate; (2E)-3-(5-Nitro-1-Cyclohexen-1-Yl)-2-Propenoic Acid (1R,2Z)-4-(Diphenylamino)-1-Methyl-4-Oxo-2-Buten-1-Yl Ester
  • CAS No.: 900186-73-4
  • EINECS号:
  • 分子式: C26H26N2O5
  • 分子量: 446.50
相关管理规定: 我们没有收集到该产品的管制信息。

真尴尬,目前还没有供应商信息。

如果你是供应商,加入我们,马上展示在这里,让更多的人找到你吧

900186-73-4当前没有适合展示的市场信息噢

请联系我们为您整理开通吧

其他相关产品:
900186-74-5|1,7-二羟基-4-硝基庚烷-1,7-二磺酸钠     900186-75-6|5-硝基-1-环己烯-1-甲醛     900186-76-7|暂缺     900186-80-3|暂缺     900186-90-5|(E)-3-(5-硝基-1-环己烯-1-基)丙烯酸甲酯     900188-84-3|暂缺     900188-85-4|暂缺     900188-86-5|暂缺     900188-87-6|暂缺