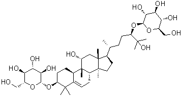
structure of 88901-38-6

CAS No:88901-38-6

中文名称:罗汉果甙 II-E

英文名称:Mogroside II-E; (3beta,9beta,10alpha,11alpha,24R)-11,25-Dihydroxy-9-methyl-19-norlanost-5-ene-3,24-diyl bis-beta-D-glucopyranoside
  • CAS No.: 88901-38-6
  • EINECS号:
  • 分子式: C42H72O14
  • 分子量: 801.01
相关管理规定: 我们没有收集到该产品的管制信息。

真尴尬,目前还没有供应商信息。

如果你是供应商,加入我们,马上展示在这里,让更多的人找到你吧

88901-38-6当前没有适合展示的市场信息噢

请联系我们为您整理开通吧

其他相关产品:
88901-39-7|罗汉果甙 I-E1     88901-41-1|罗汉果皂苷 IV-A     88901-42-2|罗汉果皂苷 III-A1     88901-43-3|罗汉果甙 III-A2     88901-44-4|罗汉果甙 II-A1     88901-45-5|罗汉果皂苷 II-A2     88901-46-6|罗汉果甙 I-A1     88901-71-7|暂缺     88901-72-8|暂缺