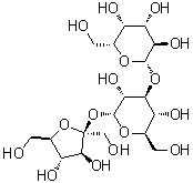
structure of 686717-73-7

CAS No:686717-73-7

中文名称:beta-D-呋喃果糖基 O-beta-D-吡喃半乳糖基-(1→3)-alpha-D-吡喃葡萄糖苷

英文名称:beta-D-Fructofuranosyl O-beta-D-galactopyranosyl-(1→3)-alpha-D-glucopyranoside;
  • CAS No.: 686717-73-7
  • EINECS号:
  • 分子式: C18H32O16
  • 分子量: 504.44
相关管理规定: 我们没有收集到该产品的管制信息。

真尴尬,目前还没有供应商信息。

如果你是供应商,加入我们,马上展示在这里,让更多的人找到你吧

686717-73-7当前没有适合展示的市场信息噢

请联系我们为您整理开通吧

其他相关产品:
686717-86-2|暂缺     686717-92-0|暂缺     686717-93-1|暂缺     686720-76-3|暂缺     686720-77-4|暂缺     686721-29-9|暂缺     686721-79-9|暂缺     686721-80-2|暂缺     686721-82-4|暂缺