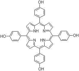
structure of 51094-17-8

CAS No:51094-17-8

中文名称:5,10,15,20-四(4-羟基苯基)卟啉

英文名称:5,10,15,20-Tetrakis(4-Hydroxyphenyl)-21H,23H-Porphine; 5,10,15,20-Tetrakis(4-Hydroxyphenyl)-21H; 5,10,15,20-Tetrakis(4-Hydroxyphenyl)Porphyrin; Meso-Tetra(P-Hydroxyphenyl)Porphine; 5,10,15,20-Tetrakis(4-Hydroxyphenyl)-21H,23H-Porphine
  • CAS No.: 51094-17-8
  • EINECS号: None
  • 分子式: C44H30N4O4
  • 分子量: 678.73
相关管理规定: 我们没有收集到该产品的管制信息。

真尴尬,目前还没有供应商信息。

如果你是供应商,加入我们,马上展示在这里,让更多的人找到你吧

51094-17-8当前没有适合展示的市场信息噢

请联系我们为您整理开通吧

其他相关产品:
51094-24-7|暂缺     51094-36-1|暂缺     51094-45-2|暂缺     51094-78-1|丁醇钽     51094-98-5|暂缺     51095-15-9|暂缺     51095-25-1|暂缺     51095-47-7|4-羟基苯基乳酸甲酯     51095-49-9|暂缺