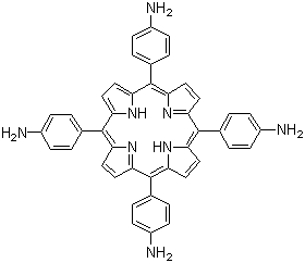
structure of 22112-84-1

CAS No:22112-84-1

中文名称:5,10,15,20-四(4-氨基苯基)卟啉

英文名称:5,10,15,20-Tetrakis(4-Aminophenyl)Porphyrin; 5,10,15,20-Tetrakis-(4-Aminophenyl)-21,23H-Porphyrin; 4,4',4'',4'''-Porphyrin-5,10,15,20-Tetrayltetraaniline; 5,10,15,20-Tetrakis(4-Aminophenyl)-21H,23H-Porphine
  • CAS No.: 22112-84-1
  • EINECS号: None
  • 分子式: C44H34N8
  • 分子量: 674.79
相关管理规定: 我们没有收集到该产品的管制信息。

真尴尬,目前还没有供应商信息。

如果你是供应商,加入我们,马上展示在这里,让更多的人找到你吧

22112-84-1当前没有适合展示的市场信息噢

请联系我们为您整理开通吧

其他相关产品:
22112-89-6|5,15-二苯基-21H,23H-卟吩     22113-86-6|暂缺     22113-87-7|甲胺硝酸盐     22113-96-8|暂缺     22114-27-8|暂缺     22114-51-8|暂缺     22114-85-8|暂缺     22115-03-3|暂缺     22115-06-6|暂缺