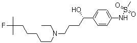
structure of 180918-68-7

CAS No:180918-68-7

中文名称:曲西利特

英文名称:Trecetilide; (S)-N-[4-[4-[Ethyl(6-fluoro-6-methylheptyl)amino]-1-hydroxybutyl]phenyl]methanesulfonamide
  • CAS No.: 180918-68-7
  • EINECS号:
  • 分子式: C21H37FN2O3S
  • 分子量: 416.59
相关管理规定: 我们没有收集到该产品的管制信息。

真尴尬,目前还没有供应商信息。

如果你是供应商,加入我们,马上展示在这里,让更多的人找到你吧

180918-68-7当前没有适合展示的市场信息噢

请联系我们为您整理开通吧

其他相关产品:
180919-94-2|暂缺     180920-67-6|暂缺     180922-71-8|暂缺     180922-72-9|暂缺     180922-84-3|暂缺     180922-85-4|暂缺     180922-86-5|暂缺     180922-87-6|暂缺     180922-88-7|暂缺