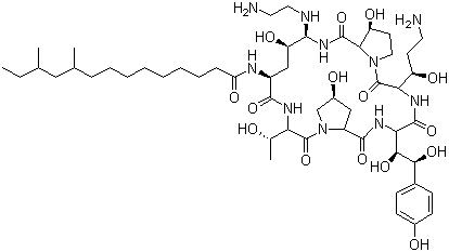
structure of 162808-62-0

CAS No:162808-62-0

中文名称:卡泊芬净

英文名称:Caspofungine; Casporfungin; N-{(2R,9S,11R,12R,14As,15S,20S,25As)-12-[(2-Aminoethyl)Amino]-20-[(1R)-3-Amino-1-Hydroxypropyl]-23-[(1S,2S)-1,2-Dihydroxy-2-(4-Hydroxyphenyl)Ethyl]-2,11,15-Trihydroxy-6-[(1R)-1-Hydroxyethyl]-5,8,14,19,22,25-Hexaoxotetracosahydro-1H-Dipyrrolo[2,1-C:2',1'-L][1,4,7,10,13,16]Hexaazacyclohenicosin-9-Yl}-10,12-Dimethyltetradecanamide; Caspofungin
  • CAS No.: 162808-62-0
  • EINECS号:
  • 分子式: C52H88N10O15
  • 分子量: 1093.31
相关管理规定: 我们没有收集到该产品的管制信息。

真尴尬,目前还没有供应商信息。

如果你是供应商,加入我们,马上展示在这里,让更多的人找到你吧

162808-62-0当前没有适合展示的市场信息噢

请联系我们为您整理开通吧

其他相关产品:
162809-70-3|暂缺     162809-72-5|暂缺     162809-82-7|暂缺     162810-02-8|暂缺     162810-03-9|暂缺     162810-04-0|暂缺     162810-05-1|暂缺     162810-06-2|暂缺     162811-30-5|暂缺