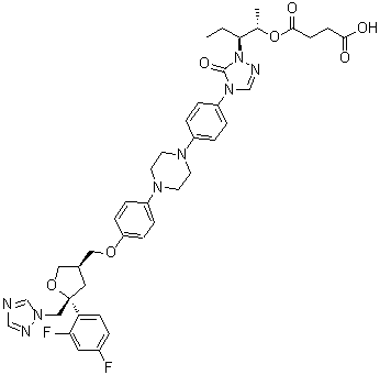
structure of 1488301-79-6

CAS No:1488301-79-6

中文名称:2,5-脱水-4-[[4-[4-[4-[1-[(1S,2S)-2-(3-羧基-1-氧代丙氧基)-1-乙基丙基]-1,5-二氢-5-氧代-4H-1,2,4-三唑-4-基]苯基]-1-哌嗪基]苯氧基]甲基]-1,3,4-三脱氧-2-C-(2,4-二氟苯基)-1-(1H-1,2,4-三唑-1-基)-D-苏式-戊糖醇

英文名称:2,5-Anhydro-4-[[4-[4-[4-[1-[(1S,2S)-2-(3-carboxy-1-oxopropoxy)-1-ethylpropyl]-1,5-dihydro-5-oxo-4H-1,2,4-triazol-4-yl]phenyl]-1-piperazinyl]phenoxy]methyl]-1,3,4-trideoxy-2-C-(2,4-difluorophenyl)-1-(1H-1,2,4-triazol-1-yl)-D-threo-pentitol;
  • CAS No.: 1488301-79-6
  • EINECS号:
  • 分子式: C41H46F2N8O7
  • 分子量: 800.85
相关管理规定: 我们没有收集到该产品的管制信息。

真尴尬,目前还没有供应商信息。

如果你是供应商,加入我们,马上展示在这里,让更多的人找到你吧

1488301-79-6当前没有适合展示的市场信息噢

请联系我们为您整理开通吧

其他相关产品:
1488303-26-9|7-乙基-2,6-二氧杂-9-氮杂螺[4.5]癸烷     1488342-80-8|4-(4-氨基-3-氟苯基)哌啶-1-羧酸叔丁酯     1488348-87-3|1-甲基哌嗪-2-甲腈     1488351-27-4|暂缺     1488354-15-9|化合物FULACIMSTAT     1488355-90-3|5-氟-1,3-二甲基-1H-苯并[D]咪唑-2(3H)-酮     1488363-39-8|4-[[2-[2-[(6-氯己基)氧基]乙氧基]乙基]氨基]-4-氧代丁酸     1488363-78-5|阿度格列凡     1488365-02-1|(2,2-二氟乙基)甘氨酸叔丁酯