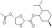
structure of 147126-67-8

CAS No:147126-67-8

中文名称:(1R,2S,5R)-薄荷基 5-乙酰氧基-[1,3]-氧硫杂环戊烷-2-羧酸酯

英文名称:(1R,2S,5R)-Menthyl 5-acetoxy-[1,3]-oxathiolane-2-carboxylate; (1R,2S,5R)-5-methyl-2-(1-methylethyl)cyclohexyl 5-(acetyloxy)-1,3-oxathiolane-2-carboxylate
  • CAS No.: 147126-67-8
  • EINECS号:
  • 分子式: C16H26O5S
  • 分子量: 330.44
相关管理规定: 我们没有收集到该产品的管制信息。

真尴尬,目前还没有供应商信息。

如果你是供应商,加入我们,马上展示在这里,让更多的人找到你吧

147126-67-8当前没有适合展示的市场信息噢

请联系我们为您整理开通吧

其他相关产品:
147126-68-9|暂缺     147126-73-6|5-(4-氨基-2-氧代-1(2H)-嘧啶)-1,3-氧硫杂环戊烷-2-甲酸 5-甲基-2-异丙基环己醇酯     147126-74-7|暂缺     147126-75-8|5-(4-氨基-5-氟-2-氧代-1(2H)-嘧啶)-1,3-氧硫杂环戊烷-2-甲酸-5-甲基-2-异丙基环己醇酯     147126-80-5|(1R,2S,5R)-2-异丙基-5-甲基环己基(2R,5R)-5-(4-氨基-2-氧代嘧啶-1(2H)- 基)-1,3-氧硫杂环戊烷-2-羧酸乙酯     147126-85-0|暂缺     147126-86-1|暂缺     147126-90-7|暂缺     147127-14-8|[4S-[4alpha[S*(S*)],5beta]]-alpha-甲氧基-alpha-(三氟甲基)苯乙酸 1-[5-[[[(1,1-二甲基乙基)二甲基硅基]氧基]甲基]-2,2-二甲基-1,3-二氧戊环-4-基]乙酯