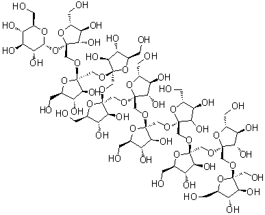
structure of 137405-36-8

CAS No:137405-36-8

中文名称:[O-beta-D-呋喃果糖基-(2→1)]9-beta-D-呋喃果糖基 alpha-D-吡喃葡萄糖苷

英文名称:[O-beta-D-Fructofuranosyl-(2→1)]9-beta-D-fructofuranosyl alpha-D-glucopyranoside; O-beta-D-Fructofuranosyl-(2→1)-O-beta-D-fructofuranosyl-(2→1)-O-beta-D-fructofuranosyl-(2→1)-O-beta-D-fructofuranosyl-(2→1)-O-beta-D-fructofuranosyl-(2→1)-O-beta-D-fructofuranosyl-(2→1)-O-beta-D-fructofuranosyl-(2→1)-O-beta-D-fructofuranosyl-(2→1)-O-beta-D-fructofuranosyl-(2→1)-beta-D-fructofuranosyl alpha-D-glucopyranoside
  • CAS No.: 137405-36-8
  • EINECS号:
  • 分子式: C66H112O56
  • 分子量: 1801.56
相关管理规定: 我们没有收集到该产品的管制信息。

真尴尬,目前还没有供应商信息。

如果你是供应商,加入我们,马上展示在这里,让更多的人找到你吧

137405-36-8当前没有适合展示的市场信息噢

请联系我们为您整理开通吧

其他相关产品:
137405-40-4|[O-beta-D-呋喃果糖基-(2→1)]10-O-beta-D-呋喃果糖基 alpha-D-吡喃葡萄糖苷     137407-31-9|4-(6-羟基己氧基)苯甲酸 4-甲氧基苯酯     137407-62-6|暂缺     137407-64-8|暂缺     137407-65-9|暂缺     137408-44-7|暂缺     137408-45-8|暂缺     137408-46-9|暂缺     137408-47-0|暂缺