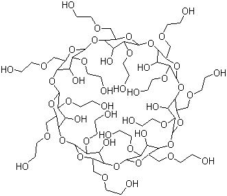
structure of 128446-32-2

CAS No:128446-32-2

中文名称:beta-环糊精 2-羟基乙基醚; 羟乙基-beta-环糊精

英文名称:beta-Cyclodextrin 2-hydroxyethyl ethers;
  • CAS No.: 128446-32-2
  • EINECS号:
  • 分子式: C70H126O49
  • 分子量: 1751.74
相关管理规定: 我们没有收集到该产品的管制信息。

真尴尬,目前还没有供应商信息。

如果你是供应商,加入我们,马上展示在这里,让更多的人找到你吧

128446-32-2当前没有适合展示的市场信息噢

请联系我们为您整理开通吧

其他相关产品:
128446-33-3|暂缺     128446-34-4|Gamma-环糊精 2-羟基丙基醚     128446-35-5|暂缺     128446-36-6|2,6-二甲基-Beta-环糊精     128446-46-8|暂缺     128446-53-7|暂缺     128446-57-1|暂缺     128446-60-6|暂缺     128446-95-7|暂缺