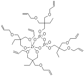
structure of 121543-39-3

CAS No:121543-39-3

中文名称:KZ-TPP

英文名称:KZ-TPP; Diphosphoric acid P,P'-bis[2,2-bis[(2-propenyloxy)methyl]butyl] ester zirconium complex
  • CAS No.: 121543-39-3
  • EINECS号:
  • 分子式: C48H84O17P2Zr
  • 分子量: 1086.34
相关管理规定: 我们没有收集到该产品的管制信息。

真尴尬,目前还没有供应商信息。

如果你是供应商,加入我们,马上展示在这里,让更多的人找到你吧

121543-39-3当前没有适合展示的市场信息噢

请联系我们为您整理开通吧

其他相关产品:
121545-65-1|暂缺     121545-80-0|暂缺     121545-81-1|暂缺     121546-77-8|暂缺     121547-00-0|暂缺     121547-04-4|暂缺     121547-78-2|暂缺     121548-04-7|暂缺     121548-05-8|暂缺